Wednesday, May 21, 2025
Youtube vs Tiktok, we analyzed 3.5 million videos, this is what we learned

The battle between YouTube and TikTok isn’t just a topic of debate for marketers, it’s shaping the very future of video content. So, which platform is better suited for what type of content? With TikTok moving into long-form videos and YouTube embracing short-form videos, the lines are starting to blur.
To uncover how these shifts are playing out, we analyzed 3.5 million TikTok and YouTube videos from the topictree dataset, featuring content that ranked in the top 20 for popular keywords over the last two years. The results highlight the strengths of these platforms. From changing video lengths to major differences in user engagement, this is your ultimate guide to navigating the ever-changing world of social search, video SEO, and digital marketing.
1. The dataset
For this analysis, we utilized our topictree database, which includes videos from YouTube and TikTok. Specifically, we analyzed all videos that appeared in the top 20 search results for specific search terms over the past three years. In total, this amounted to approximately 1,500,000 YouTube videos and 2,000,000 TikTok videos, giving us a dataset of around 3,500,000 videos.
It's important to note that not all of these videos continue to rank today. However, each video in the dataset was significant enough at some point in the past three years to achieve a ranking position. This establishes that every video in the dataset is/was relevant enough to rank in search results, making it valuable for exploring cross-platform differences and tracking platform evolution over time.
2. Video Durations on YouTube vs. TikTok

To begin our analysis, we visualized the video durations for all 3,500,000 videos to compare how content is distributed across video lengths on YouTube and TikTok. This step highlights key differences in how each platform operates.
Unsurprisingly, the data revealed the contrast in video duration between the two platforms. TikTok rankings in the past two years are heavily dominated by shorter videos, particularly those ranging from 0 to 30 seconds. Beyond this range, the number of ranked TikTok videos declines significantly as video duration increases.
YouTube exhibits a more balanced distribution of ranked videos across different durations, with relatively stable representation across both short and long-form content.
While this contrast aligns with expectations based on the platforms' core design and audience habits, it underscores the fundamental differences in content strategy and consumption trends on YouTube and TikTok. Understanding these trends provides valuable context for analyzing platform-specific content strategies and user behavior.
3. How TikTok and YouTube Evolve Differently
The last visualisation is an overview of all the videos in our dataset. But the problem with an all time overview is that you don’t know how (and if) the platform evolves. With TikTok introducing longer videos and YouTube introducing shorts it could be that a platform is evolving into something else. What kind of videos have been published in the past? And how does that differ from the videos that are published today?
These are questions that, of course, vary per video subject. It is a very important puzzle to solve when creating a video (strategy). What worked 2 years ago on YouTube doesn’t necessarily mean that it works today. To understand how each platform evolves and where it grows towards (short- or long form oriented), we used a visualization of video duration spanning video age (from 0-6 months to 60+ months). This visualisation shows the percentage of videos that were published (and picked up by the search algorithm) within a certain time frame. By analyzing this data we can see how a platform is evolving over time, because we can analyze which duration group within these 3.500.000 videos became (less) popular over time.
The YouTube Evolution

The dataset shows that YouTube has seen a steady increase in video diversity. Consider these trends:
- In the last 0-6 months, a significant portion (21.2%) of ranking YouTube videos are completely bite-sized, clocking in under 30 seconds. It's clear that YouTube is adapting to the rise of short-form video demand within their ranking system.
- The presence of ranking 15+ min videos isn’t getting smaller on YouTube at all. It grew to 20% and stayed there. It is the mid section (2 - 8 min) that grew smaller over time.
Videos between 3-5 minutes took the biggest hit after the introduction of YouTube shorts (sept 2020), people stopped posting mid range videos and the focus shifted to short or long form.
The TikTok Evolution

TikTok, however, remains true to its short-form roots. While the platform now allows videos up to 60 minutes, these longer videos rarely compete with short-form content, people don’t post this content and even if they do, we can’t find it in the rankings.
- Over 55% of published TikTok videos in the last 6 months are under 30 seconds long, a figure that has dropped but is pretty stable over the last three years.
- Although TikTok has diversified its content. There isn’t much space for longer videos in the rankings yet. 1-2 minutes gained a lot over time, but that is still short form.
- Long-form videos are essentially non-existent on TikTok beyond the 5-minute mark, with durations over 12 or 15 minutes practically at zero.
The YouTube vs TikTok content evolution
Both YouTube and TikTok are evolving to meet changing viewer preferences, but their approaches couldn’t be more different. YouTube remains the go-to platform for long-form content, though short-form videos are steadily gaining ground in rankings. For TikTok, it’s the reverse. Short-form content dominates, while the growth of videos over 2 minutes appears to have stalled.
This could signal that TikTok isn’t focused on meeting the same informational needs as YouTube. Interestingly, the reverse seems to be true for YouTube, where short-form content continues to grow in ranking year after year.
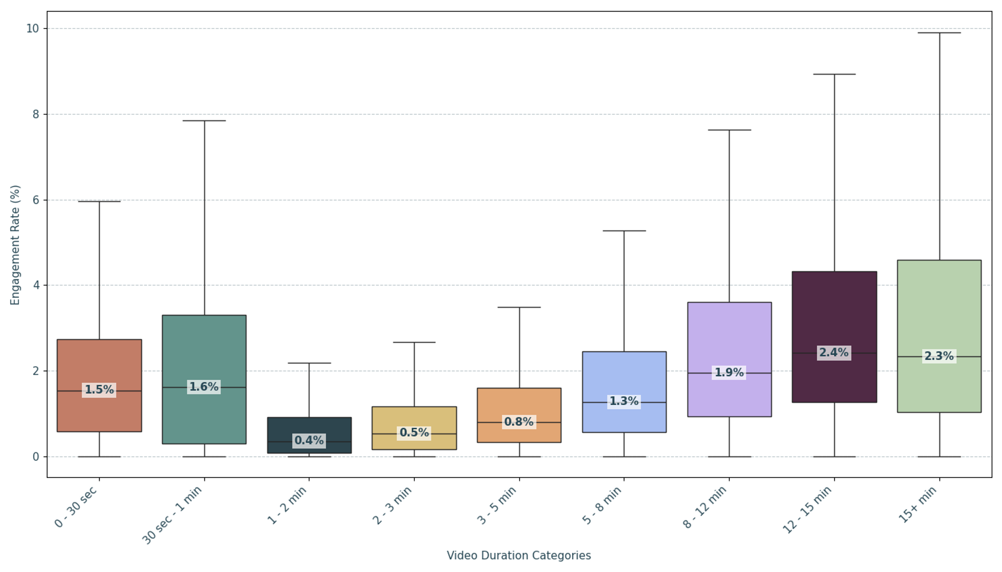
3. The Engagement Factor: TikTok’s Stability vs YouTube’s Fluctuations
The next part of this article dives into engagement. Discussing not just "likes" and "views," but how viewers interact with different video durations on the platform. This analysis revealed a big contrast between TikTok and YouTube. The boxsplot plots the second to the third percentile and shows the median for every video duration category.
YouTube engagements

TikTok engagements

YouTube vs TikTok Engagement
Using a boxplot visualization to measure engagement (likes, shares, comments, downloads etc.) showed a stark difference in engagement consistency:
Engagement across videos was remarkably stable. Engagement levels for videos was almost the same (30-second clips or 10-minute videos). What this tells us is that TikTok's audience actively comments, likes, shares and downloads videos no matter the duration of the video. Which is a surprising insight, because in stark contrast, engagement on YouTube showed much greater fluctuation, with video durations hitting very different engagement rates.
Why is TikTok Engagement Steady?
TikTok’s engagement stability is a result of its algorithmic consistency. Regardless of the video’s ranking on keywords. We suspect the videos are mainly watched through the highly personalized “For You” feed. Ensuring that users see exactly what they’ll enjoy the most. So it doesn’t matter how long the video is for the user to interact with it.
Why is YouTube Engagement Varied?
On the other hand, YouTube’s engagement often aligns with content quality and keyword-driven queries. Tutorials, reviews, and high production videos routinely get millions of views. People have to search for the content, and are less likely to engage with what they find since it is less personalized.
What does this mean?
The evolving landscapes of YouTube and TikTok, as revealed by our 3.5 million video analysis, carry clear implications for marketers and video creators. For TikTok, short-form remains the dominant format, with over 55% of ranking videos under 30 seconds even after the platform introduced longer video support. While TikTok has slightly diversified, the data shows that videos beyond 2 minutes are not published or still struggle to achieve prominence in search-driven rankings. Notably, engagement on TikTok is consistent across video lengths, suggesting that if a video makes it into the ranking pool, the audience is likely to engage with it, regardless of its duration.
On YouTube, both long- and short-form content are thriving. There is a noticeable trend in ultra-short videos (under 30 seconds) since the introduction of Shorts, but long-form content (15+ minutes) remains a stable category, accounting for about 20% of ranking videos. Mid-length content (2-8 minutes) is where the biggest decline has occurred. Not only is there the biggest decline, Engagement is far less predictable and varies significantly by duration, type, and age of the content.
For marketers and agencies
Of course, platform selection should align closely with content goals. YouTube’s support of long-form remains unmatched. TikTok’s for you page is a strong and consistent engagement machine, no matter how long your content is, people will interact with it.
Engagement strategies should reflect these norms. On TikTok, experiment freely with short formats, as engagement is less sensitive to duration. But, don’t forget to “double dip”. With Youtube’s shorts growing year by year you shouldn’t write it off as just a long form platform.
Ultimately, while the lines between YouTube and TikTok are blurring on short form content, their top-performing content and engagement models remain distinct. The key for marketers is to match message and format to the strengths revealed by the data, letting performance guide strategy in an ever-shifting video landscape.